中国·太阳集团tyc138(品牌公司)·Official website
集团首页
|
书记经理信箱
|
太阳集团tyc138官方邮箱
网站首页
公司概况
机构设置
现任领导
行政机构
书记经理信箱
太阳集团tyc138官方邮箱
旗下产业
研究生教育
专业与导师介绍
公司产品
研究生管理
研究生活动
荣休(原)导师
教学科研
团队力量
科研信息
资料下载
科研团队
党团建设
组织设置
党建活动
团委工作
学习教育
人才招聘
研究生
本科生
学术预告
网站首页
>
通知公告
>
正文
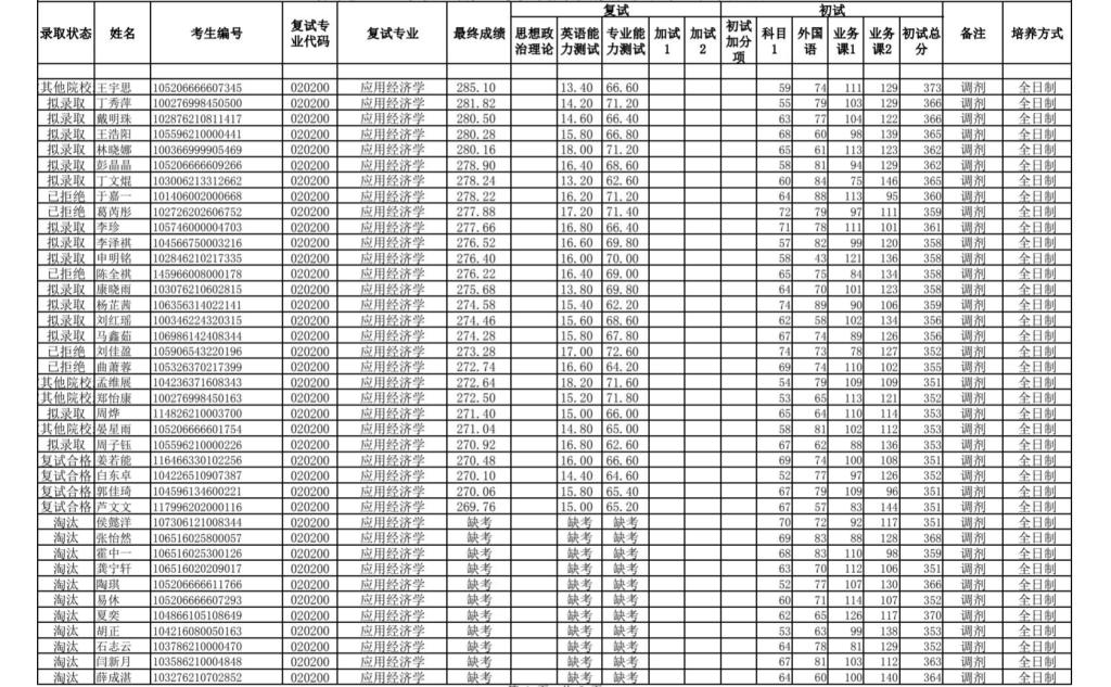
太阳集团tyc1382026年硕士研究生复试结果及拟录取名单(批次调剂2批)
作者: 时间:2026-04-12 点击数:
上一篇:
“就在经冀”——太阳集团tyc1382026年春季双选会参会指南
下一篇:
2026年硕士研究生复试面试安排简况表(调剂二批)
友情链接
/LINK
版权所有 太阳集团tyc138 地址:河北省石家庄市学府路47号太阳集团tyc138 邮编:050061